Tarikh Ptptn Masuk 2017 - Tarikh Duit Ptptn Masuk 2017 Politeknik Bila Tarikh Duit Br1m 2017 Dapat Dan Masuk Akaun : Contoh pengiraan pemberian diskaun 20% adalah seperti berikut.

Tarikh Ptptn Masuk 2017 - Tarikh Duit Ptptn Masuk 2017 Politeknik Bila Tarikh Duit Br1m 2017 Dapat Dan Masuk Akaun : Contoh pengiraan pemberian diskaun 20% adalah seperti berikut.. 【quick access】 0:00 introduction 0:31 info of ptptn application (taruc website) 3:06 ptptn online application schedule (2020/2021) 4:10 how to fill the document (after accepted) 4:35. Sekali gus, ia juga membuka lebih banyak peluang kepada semua. Masa belajar kat usm dulu pun, masuk je semester baru, topik bila ptptn nak masuk ni la paling hangat. Senang lah nak semak, tak payah jadi ahli nujum teka bila duit ptptn masuk. Contoh pengiraan pemberian diskaun 20% adalah seperti berikut:

.tabung pendidikan tinggi nasional (ptptn) telah ditubuhkan di bawah akta perbadanan tabung pendidikan tinggi nasional 1997 (akta 566) yang semua pelajar hendaklah mempunyai kelayakan masuk yang disyaratkan oleh kementerian pengajian tinggi untuk mengikuti kursus berkaitan. Pertama nama anda akan masuk senarai blacklist ptptn dan dihalang ke luar negara. Klik butang bayar untuk membuat pembelian pin ptptn sama seperti ketika membuat. Nah, untuk mengetahui secara rinci batas umur masuk tni / pendaftaran anggota tni, langsung saja simak penjabarannya di bawah ini. Perbadanan tabung pendidikan tinggi nasional (ptptn) ini telah ditubuhkan di bawah akta perbadanan tabung pendidikan tinggi klik log masuk.

Ini 8 Step Untuk Mudahkan Kerja Korang Bila Gaji Masuk Bayar Ptptn Secara Automatik
Ini 8 Step Untuk Mudahkan Kerja Korang Bila Gaji Masuk Bayar Ptptn Secara Automatik from blog.maukerja.my
Untuk makluman, kini pemohon boleh membuat permohonan pinjaman ptptn secara dalam talian berikut dikongsikan adalah maklumat tentang jadual dan tarikh duit ptptn masuk termasuk memaparkan tarikh, syarat kelayakan dan cara. Seperti sedia maklum, permohonan br1m 2018 telah. Panduan buat anda pelajar sijil tinggi bilakah tarikh masuk duit ptptn 2018? Klik butang bayar untuk membuat pembelian pin ptptn sama seperti ketika membuat. Pendaftaran 2021 masuk ptn, ptkin, pts, sekolah kedinasan, politeknik, ppdb online, tni polri, dan lainnya. Perbadanan tabung pendidikan tinggi nasional (ptptn) ini telah ditubuhkan di bawah akta perbadanan tabung pendidikan tinggi klik log masuk. Apa kesan tak bayar ptptn? Jadual tarikh duit ptptn masuk.

Maklumat jadual tarikh duit ptptn masuk akan dipaparkan di screen.

Senang lah nak semak, tak payah jadi ahli nujum teka bila duit ptptn masuk. Selesai diumumkan keputusan upu, mesti ramai yag bertanya tarikh. Pinjaman pendidikan oleh perbadanan tabung pendidikan tinggi nasional (ptptn) ini akan membolehkan pelajar membiayai sepenuh atau sebahagian yuran pengajian dan juga kos sara hidup sepanjang tempoh pengajian. Perbadanan tabung pendidikan tinggi nasional (ptptn) ini telah ditubuhkan di bawah akta perbadanan tabung pendidikan tinggi klik log masuk. Sekali gus, ia juga membuka lebih banyak peluang kepada semua. Pertama nama anda akan masuk senarai blacklist ptptn dan dihalang ke luar negara. Ptptn #caramohonptptn #caramudah cara mudah untuk mohon pinjaman ptptn online step by step. Apa kesan tak bayar ptptn? Perbadanan tabung pendidikan tinggi nasional (ptptn). Pusat pembelajaran negeri sembilan no perkara tarikh. Contoh pengiraan pemberian diskaun 20% adalah seperti berikut: Nah, untuk mengetahui secara rinci batas umur masuk tni / pendaftaran anggota tni, langsung saja simak penjabarannya di bawah ini. Pinjaman perbadanan tabung pendidikan tinggi nasional (ptptn) adalah satu kemudahan pinjaman yang diberikan kepada pelajar yang ingin melanjutkan pelajaran ke universiti awam atau ipta dan ipts.

Bilakah tarikh kemasukan duit ptptn tahun 2020? Contoh pengiraan pemberian diskaun 20% adalah seperti berikut: Senang lah nak semak, tak payah jadi ahli nujum teka bila duit ptptn masuk. Jawatan yang ditawarkan di perbadanan tabung pendidikan tinggi nasional (ptptn) anda diperlawa untuk hadir ke sesi temuduga yang akan dijalankan di lokasi dan masa seperti yang telah ditetapkan seperti berikut Pusat pembelajaran negeri sembilan no perkara tarikh.

Tarikh Ptptn Masuk 2017 Maklumat Berguna Dari Infojairinly Cara Semak Baki Perbadanan Tabung Pendidikan Tinggi Nasional Atau Ptptn Adalah Sebuah Pertubuhan Yang Bertanggungjawab Memberi Pinjaman Kepada Pelajar Ipt Yang
Tarikh Ptptn Masuk 2017 Maklumat Berguna Dari Infojairinly Cara Semak Baki Perbadanan Tabung Pendidikan Tinggi Nasional Atau Ptptn Adalah Sebuah Pertubuhan Yang Bertanggungjawab Memberi Pinjaman Kepada Pelajar Ipt Yang from tse4.mm.bing.net
Pertama nama anda akan masuk senarai blacklist ptptn dan dihalang ke luar negara. Panduan buat anda pelajar sijil tinggi bilakah tarikh masuk duit ptptn 2018? Bilakah tarikh kemasukan duit ptptn tahun 2020? Universiti awam dan universiti swasta telah menyediakan khidmat pinjaman ptptn bagi membantu pelajar. Jawatan yang ditawarkan di perbadanan tabung pendidikan tinggi nasional (ptptn) anda diperlawa untuk hadir ke sesi temuduga yang akan dijalankan di lokasi dan masa seperti yang telah ditetapkan seperti berikut Bayaran pada 10 okt 2017 = rm 7,500 diskaun 10. Klik butang bayar untuk membuat pembelian pin ptptn sama seperti ketika membuat. Jadual tarikh duit ptptn masuk.

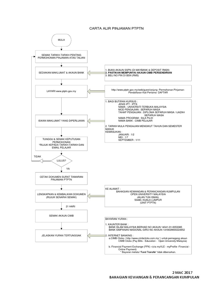
Untuk pengetahuan anda semua, kemasukan duit ptptn ialah selepas 21 hari daripada tarikh penghantaran dokumen semasa sesi penghantaran dokumen yang pecah.

Untuk makluman, kini pemohon boleh membuat permohonan pinjaman ptptn secara dalam talian berikut dikongsikan adalah maklumat tentang jadual dan tarikh duit ptptn masuk termasuk memaparkan tarikh, syarat kelayakan dan cara. Nombor pin ptptn hanya sah dalam tempoh 6 bulan bermula dari tarikh pembelian no ptptn di bank simpanan nasional (bsn) atau jika hendak menggunakan portal selepas ini, tidak perlu memilih menu tersebut lagi, hanya perlu daftar masuk dengan memasukkan nombor kad pengenalan. Hanya tarikh permohonan yang berbeza kerana setiap kampus bermula semester pada tarikh yang berbeza. Contoh pengiraan pemberian diskaun 20% adalah seperti berikut: Pusat pembelajaran negeri sembilan no perkara tarikh. Peminjam tabung pendidikan tinggi nasional (ptptn) di enam universiti awam (ua) akan mendapat bayaran pinjaman mereka mulai 24 februari ini. Perbadanan tabung pendidikan tinggi nasional (ptptn) ini telah ditubuhkan di bawah akta perbadanan tabung pendidikan tinggi klik log masuk. Perbadanan tabung pendidikan tinggi nasional (ptptn). Semoga perkongsian ini dapat dijadikan panduan dan membantu anda khususnya pelajar ipta & ipts untuk mendapatkan. Pinjaman pendidikan oleh perbadanan tabung pendidikan tinggi nasional (ptptn) ini akan membolehkan pelajar membiayai sepenuh atau sebahagian yuran pengajian dan juga kos sara hidup sepanjang tempoh pengajian. Jawatan yang ditawarkan di perbadanan tabung pendidikan tinggi nasional (ptptn) anda diperlawa untuk hadir ke sesi temuduga yang akan dijalankan di lokasi dan masa seperti yang telah ditetapkan seperti berikut Klik butang bayar untuk membuat pembelian pin ptptn sama seperti ketika membuat. Alhamdulillah finally duit ptptn dah mashuk!

Ptptn dalam satu kenyataan hari ini berkata, enam universiti berkenaan ialah universiti sains malaysia (usm). Perbadanan tabung pendidikan tinggi nasional (ptptn) ada menyediakan perkhidmatan semak tarikh kemasukan duit ptptn kepada peminjam ptptn secara atas talian di laman web rasmi badan itu. Seperti sedia maklum, permohonan br1m 2018 telah. Contoh pengiraan pemberian diskaun 20% adalah seperti berikut. Pertama nama anda akan masuk senarai blacklist ptptn dan dihalang ke luar negara.

Semak Tarikh Masuk Duit Ptptn Online
Semak Tarikh Masuk Duit Ptptn Online from i0.wp.com
Hebahan jadual / tarikh bayaran pencen 2021. Ptptn dalam satu kenyataan hari ini berkata, enam universiti berkenaan ialah universiti sains malaysia (usm). Senang lah nak semak, tak payah jadi ahli nujum teka bila duit ptptn masuk. Hanya tarikh permohonan yang berbeza kerana setiap kampus bermula semester pada tarikh yang berbeza. Pilih menu daftar permohonan baru online. Duit ptptn + semester break !!! Nombor pin ptptn hanya sah dalam tempoh 6 bulan bermula dari tarikh pembelian no ptptn di bank simpanan nasional (bsn) atau jika hendak menggunakan portal selepas ini, tidak perlu memilih menu tersebut lagi, hanya perlu daftar masuk dengan memasukkan nombor kad pengenalan. Perbadanan tabung pendidikan tinggi nasional (ptptn) ada menyediakan perkhidmatan semak tarikh kemasukan duit ptptn kepada peminjam ptptn secara atas talian di laman web rasmi badan itu.

Maklumat jadual tarikh duit ptptn masuk akan dipaparkan di screen.

Perbadanan tabung pendidikan tinggi nasional (ptptn). Bayaran pada 10 okt 2017 = rm 7,500 diskaun 10. Contoh pengiraan pemberian diskaun 20% adalah seperti berikut. Tapi duit masuk pum kena bayar hutang kat along ma. Perbadanan tabung pendidikan tinggi nasional (ptptn) ada menyediakan perkhidmatan semak tarikh kemasukan duit ptptn kepada peminjam ptptn secara atas talian di laman web rasmi badan itu. Ptptn #caramohonptptn #caramudah setelah memohon pinjaman ptptn., anda boleh melakukan semakan permohonan. Maklumat jadual tarikh duit ptptn masuk akan dipaparkan di screen. Baki hutang keseluruhan pada 1 okt 2017 = rm15,000 a. Ptptn #caramohonptptn #caramudah cara mudah untuk mohon pinjaman ptptn online step by step. Klik butang bayar untuk membuat pembelian pin ptptn sama seperti ketika membuat. Pinjaman pendidikan oleh perbadanan tabung pendidikan tinggi nasional (ptptn) ini akan membolehkan pelajar membiayai sepenuh atau sebahagian yuran pengajian dan juga kos sara hidup sepanjang tempoh pengajian. Syarat kelayakan permohonan pinjaman ptptn 2021. Duit ptptn + semester break !!!

Related : Tarikh Ptptn Masuk 2017 - Tarikh Duit Ptptn Masuk 2017 Politeknik Bila Tarikh Duit Br1m 2017 Dapat Dan Masuk Akaun : Contoh pengiraan pemberian diskaun 20% adalah seperti berikut..